重磅!初三一二模分数分布来啦!还有2017、2018年中考分数段
2019-06-12 18:08来源:大连天健网
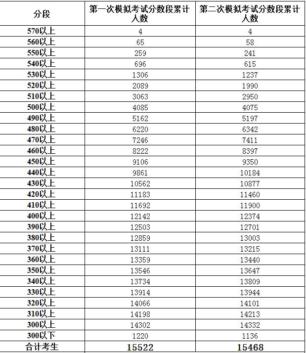
天健网消息(记者 金东淑)2019年大连市初三学生第二次模拟考试已经结束,为便于广大考生填报志愿,大连市教育局现将本次模拟考试和第一次模拟考试市内区学生分数分布情况公布如下(仅供参考):

1、市内区包括中山区、西岗区、沙河口区、甘井子区及高新园区。
2、以上分数不含学科等级赋分和体育考试分数。
3、考试总分满分600分。
4、570以上含570,下同。

1、市内区包括中山区、西岗区、沙河口区、甘井子区及高新园区。
2、以上分数含学科等级赋分和体育考试分数。
3、中考总分满分695分。
4、660以上含660,下同。
编辑:姜国庆